機械学習基礎理論独習

誤りがあればご指摘いただけると幸いです。数式が整うまで少し時間かかります。リンクフリーです。

勉強ログです。リンクフリーです
目次へ戻る

2021-12-01から1ヶ月間の記事一覧

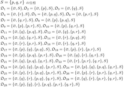
位相空間の例

はじめに 「集合・位相入門」という本を読んでいるのですが、p153に 「 が つの元から成る集合 である場合には、 における位相をを全部書き上げることは もはやそれほど容易ではない。しかし、注意深く検討すれば、この集合における位相は全部で 個あること…

PRML演習問題 13.15(標準)

問題 隠れマルコフモデルの周辺分布の表現 と を用いて、 スケーリングされた変数についての対応する結果 と を導け。 参照 解答 式 を計算します。式 より、式 が示せました。式 を計算します。式 より、式 が示せました。

PRML演習問題 1.34(標準) www

問題 変分法を使って、 式の上にある汎関数の停留点が で与えられることを示せ。 また、制約 を使ってラグランジュ乗数を消去し、 最大エントロピー解がガウス分布 で与えられることを示せ。 参照 解答 PRML p56より、エントロピーを最大化するため、制約 の…

PRML演習問題 1.26(基本)

問題 の 乗を展開し、 に類似の結果を導き目標変数ベクトル の場合に 期待二乗損失を最小にする関数 がやはり の条件付き期待値で与えられることを示せ。 参照 解答 式 の を計算します。式 を式 に代入します。 を計算します。式 を式 に代入します。式 よ…

PRML演習問題 1.25(基本) www

問題 単一の目標変数 の の二乗損失関数のベクトル値 で表される多変数の場合への以下の一般化について考える。変分法によって、この期待損失を最小化する関数 が で与えられることを示せ。 単一の目標変数 の場合はこの結果が に帰着されることを確かめよ。…

PRML演習問題 13.32(標準) www

問題 線形動的システムにおける、 と に対する Mステップの方程式の結果 と を確かめよ。 参照 解答 PRML下巻 p361より、以下が成り立ちます。式 を で微分して、 とおきます。式 より、式 が示せました。式 を で微分して、 とおきます。式 より、式 が示せ…

PRML演習問題 13.34(標準)

問題 線形動的システムにおける、 と に対するMステップの方程式の結果 と を確かめよ。 参照 解答 PRML下巻 p362より、以下が成り立ちます。式 を で微分して、 とおきます。式 より、式 が示せました。式 を で微分して、 とおきます。式 より、式 が示せ…

PRML演習問題 13.33(標準)

問題 線形動的システムにおける、 と に対する M ステップの方程式の結果 と を確かめよ。 参照 解答 を で微分して、 とおきます。式 より、式 が示せました。 を で微分して、 とおきます。式 より、式 が示せました。 補足 の証明については、 ベクトルと…

PRML演習問題 8.25(標準)

問題 図 のグラフにおいて、ノード を根ノードとして積和アルゴリスムを実行すると 上の正しい周辺分布が得られる。 このことは において確かめられた。 では、 および についても正しい周辺分布が得られることを示せ。 同様に、このグラフにおいて秘和アル…

PRML演習問題 8.24(標準)

問題 木構造因子グラフにおいて、積和メッセージパッシングアルゴリズムを実行したとする。 因子 の変数 上の周辺分布が の形に書けることを示せ。 これは、この因子ノードに接続されるすべてのリンクに沿って入ってきたメッセージの積に、 局所的な因子 を…

PRML演習問題 8.23(標準) www

問題 節において、因子グラフの変数ノード 上の周辺分布 が、 隣接因子ノードからこのノードに伝わるメッセージの積として の形で与えられることを示した。 に接続されるリンクを つ選んだとする。 周辺分布 はこの つのリンクに沿って入ってくるメッセージ…

PRML演習問題 8.27(標準)

問題 つの 状態離散変数 および を考える。 例えば である。 これらの変数上の同時分布 であって周辺分布 を最大にする値 と 周辺分布 を最大にする とを組み合わせると、 同時分布の確率が となる(すなわち となる)ようなものを作れ。 解答 以下の同時分布…

積和アルゴリズム

仮定 以下の議論では,モデルの持つすべての変数は離散的であると仮定します。 また、もともとのグラフは無向木、有向木あるいは多重木のいずれかであると仮定します。 すると、これを変換してできる因子グラフは木構造を持ちます。 因子グラフにおける同時…

PRML演習問題 8.21(標準) www

問題 因子グラフにおいて、積和メッセージパッシングアルゴリズムを実行した後、 を適用することにより、各因子 に関連する変数 全体上の 周辺分布 が計算できることを示せ。 参照 解答 は因数ノード に隣接する変数ノードとし、 とします。 は変数ノード を…

PRML演習問題 13.20(標準) www

問題 の結果を用いて を証明せよ。 参照 解答 式 において、以下のように対応付けます。 このとき、 は以下のようになります。式 より、式 が示せました。

PRML演習問題 13.14(標準)

問題 因子グラフにおける因子ノードから変数ノードへ渡されるメッセージの定義 と 隠れマルコフモデルの同時分布の表現 を用いて、 メッセージの定義 が の定義と同一であることを示せ。 参照 解答 式 を用いて、式 は、以下のように書けます。 は 自体を含…

PRML演習問題 13.13(標準) www

問題 因子グラフにおける因子ノードから変数ノードへ渡されるメッセージの定義 と 隠れマルコフモデルの同時分布の表現 を用いて、 メッセージの定義 が の定義と同一であることを示せ。 参照 図 解答 式 を用いて、式 は、以下のように書けます。 は 自体を…

PRML演習問題 8.20(基本) www

問題 木構造因子グラフにおける積和アルゴリズムのメッセージパッシングの手続きについて考える。 メッセージはまずすべての葉ノードから任意に選ばれた根ノードに向かつて伝播され、 その後根ノードから葉ノードへと伝播される。 各ステップにおいて、メッ…

目次へ戻る